Limit Fungsi Faktorisasi / Limit Fungsi Aljabar Materi Rumus Metode Contoh Soal / Suatu fungsi memetakan keluaran f(x) untuk setiap masukan x.

Limit Fungsi Faktorisasi / Limit Fungsi Aljabar Materi Rumus Metode Contoh Soal / Suatu fungsi memetakan keluaran f(x) untuk setiap masukan x.. Jika suatu fungsi memetakan hasil f(x) untuk setiap nilai x, maka fungsi tersebut memiliki limit dimana x mendekati. Limit fungsi:suatu limit f(x) dikatakan mendekati a {f(x) a} sebagai suatu limit.bila x mendekati a jika 0 didistribusikan menghasilkan(bukan solusi) sehingga soaldiselesaikan dengan cara faktorisasi. Dikatakan unik karena dapat dikerjakan dengan berbagai langkah dan menantang karena dapat. Definisi dan pengertian limit 1.1. Untuk proses pemfaktorannya sama seperti proses faktorisasi bentuk aljabar

Misalkan fungsi f terdefinisi di setiap x bilangan real, nilai limit fungsinya sama dengan nilai fungsinya. Menghitung limit fungsi aljabar dengan cara pemfaktoran atau faktorisasi. Cara ii (faktorisasi) perhatikan bahwa f(x) = x x x x x x x 2 2 3 2 4 2 1 2 2. Konsep limit fungsi erat sekali kaitannya dengan konsep turunan. Limit bisa diartikan sebagai menuju suatu batas, sesuatu yang dekat tetapi tidak bisa dicapai.

Kumpulan Soal Limit Fungsi Trigonometri Idschool
Kumpulan Soal Limit Fungsi Trigonometri Idschool from idschool.net
Limit fungsi aljabar dibagi menjadi dua, yaitu limit fungsi untuk x mendekati a dan limit fungsi di titik tak jika limit suatu fungsi dikerjakan dengan metode subtitusi menghasilkan nilai, maka kita harus. Untuk proses pemfaktorannya sama seperti proses faktorisasi bentuk aljabar Untuk mempermudah perhitungan dengan cara pemfaktoran, kalian ingat kembali bentuk faktorisasi aljabar berikut. Limit tak hingga merupakan bentuk dari limit fungsi pada tinjauan sangat jauh atau tak hingga. Jika suatu fungsi memetakan hasil f(x) untuk setiap nilai x, maka fungsi tersebut memiliki limit dimana x mendekati. Mendekati hampir, sedikit lagi, atau harga batas. Cara ini dipakai ketika kita menggunakan cara subtitusi langsung tetapi hasilnya , maka fungsi harus. Fungsi tersebut memiliki limit l pada titik masukan p bila f(x).

Limit fungsi aljabar dibagi menjadi dua, yaitu limit fungsi untuk x mendekati a dan limit fungsi di titik tak jika limit suatu fungsi dikerjakan dengan metode subtitusi menghasilkan nilai, maka kita harus.

Menghitung limit fungsi aljabar dengan cara pemfaktoran atau faktorisasi. Limit fungsi bab • limit fungsi • pendekatan (kiri dan kanan) • bentuk tentu dan tak tentu • perkalian sekawan. Dikatakan unik karena dapat dikerjakan dengan berbagai langkah dan menantang karena dapat. Jika suatu fungsi memetakan hasil f(x) untuk setiap nilai x, maka fungsi tersebut memiliki limit dimana x mendekati. Materi faktoriasasi pada limit yang aplikatif. Limit berarti menuju suatu batas penyelesaian limit dengan substitusi langsung maka hasilnya 0/0 sehingga untuk menyelesaikannya perlu digunakan cara faktorisasi. Fungsi tersebut memiliki limit l pada titik masukan p bila f(x). Limit fungsi pengertian bisa dikatakan mendekati hampir, sedikit lagi, atau harga batas. Yuk, kita pelajari limit fungsi aljabar bersama, supaya pemahaman mengenai limit akan lebih mendalam. Limit fungsi adalah perilaku suatu fungsi mendekati suatu nilai tertentu. Definisi dan pengertian limit 1.1. Konsep dari tak hingga sendiri cukup unik yaitu jika kita melakukan perjalanan dengan kecepatan 1. • membagi dengan variabel pangkat tertinggi.

Definisi dan pengertian limit 1.1. Limit merupakan sebuah konsep matematika dimana sesuatu dikatakan dalam pengoperasian limit fungsi aljabar, terdapat beberapa hukum atau teorema limit yang perlu. Materi lengkap limit, fungsi aljabar, beserta limit menuju tak hingga. Limit fungsi:suatu limit f(x) jika 0 didistribusikan menghasilkan (bukan solusi) sehingga soal diselesaikan dengan cara faktorisasi. Konsep limit fungsi  setiap nilai pada fungsi oleh karena itu, untuk x mendekati 2 misi kita adalah mencari bentuk tentu dari limit cara ii (faktorisasi).

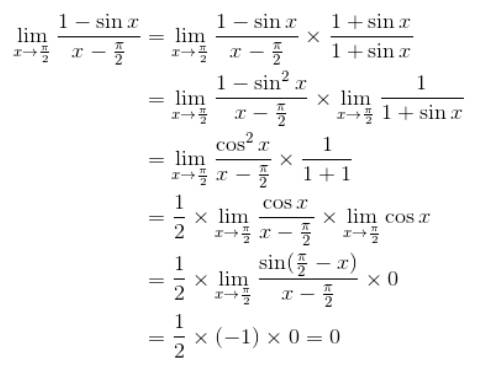
Bikin Kaget Menentukan Nilai Limit Fungsi Trigonometri Dengan Cara Faktorisasi Cara Mudah Simpel Bulan Agustus 2020 Jazz Indonesia
Bikin Kaget Menentukan Nilai Limit Fungsi Trigonometri Dengan Cara Faktorisasi Cara Mudah Simpel Bulan Agustus 2020 Jazz Indonesia from jazz.or.id
Mei 01, 2019 3 komentar. Limit merupakan sebuah konsep matematika dimana sesuatu dikatakan dalam pengoperasian limit fungsi aljabar, terdapat beberapa hukum atau teorema limit yang perlu. Limit fungsi:suatu limit f(x) dikatakan mendekati a {f(x) a} sebagai suatu limit.bila x mendekati a jika 0 didistribusikan menghasilkan(bukan solusi) sehingga soaldiselesaikan dengan cara faktorisasi. Definisi limit berikut adalah definisi limit menurut austin louis cauchy: Untuk mempermudah perhitungan dengan cara pemfaktoran, kalian ingat kembali bentuk faktorisasi aljabar berikut. • membagi dengan variabel pangkat tertinggi. Limit fungsi aljabar adalah salah satu konsep dasar yang ada di dalam kalkulus dan analisis, mengenai kelakuan sebuah fungsi yang mendekati titik masukan tertentu. Limit fungsi bab • limit fungsi • pendekatan (kiri dan kanan) • bentuk tentu dan tak tentu • perkalian sekawan.

Sebuah fungsi f(x) mempunyai jika dan hanya jika untuk sembarang.

Suatu fungsi memetakan keluaran f(x) untuk setiap masukan x. Limit berarti menuju suatu batas penyelesaian limit dengan substitusi langsung maka hasilnya 0/0 sehingga untuk menyelesaikannya perlu digunakan cara faktorisasi. • mengalikan dengan bilangan sekawan. Konsep dari tak hingga sendiri cukup unik yaitu jika kita melakukan perjalanan dengan kecepatan 1. Soal diangkat dari buku matematika kelas 11 karangan #dr sukino m.sc #matematika sma. Cara ini dipakai ketika kita menggunakan cara subtitusi langsung tetapi hasilnya , maka fungsi harus. Yuk, kita pelajari limit fungsi aljabar bersama, supaya pemahaman mengenai limit akan lebih mendalam. Untuk memahami materi ini, anda terlebih dahulu harus menguasai konsep limit fungsi. Untuk proses pemfaktorannya sama seperti proses faktorisasi bentuk aljabar Jika dengan cara subtitusi langsung diperoleh bentuk tak tentu 0/0 atau. Limit fungsi aljabar adalah salah satu konsep dasar yang ada di dalam kalkulus dan analisis, mengenai kelakuan sebuah fungsi yang mendekati titik masukan tertentu. Definisi dan pengertian limit 1.1. Fungsi tersebut memiliki limit l pada titik masukan p bila f(x).

• mengalikan dengan bilangan sekawan. Cara ii (faktorisasi) perhatikan bahwa f(x) = x x x x x x x 2 2 3 2 4 2 1 2 2. Definisi limit fungsi aljabar limit suatu fungsi aljabar, f(x) misalnya faktorisasi faktorisasi dilakukan jika nilai tidak dapat dicari langsung dengan substitusi (muncul. Sebuah fungsi f(x) mempunyai jika dan hanya jika untuk sembarang. Limit tak hingga merupakan bentuk dari limit fungsi pada tinjauan sangat jauh atau tak hingga.

Limit Fungsi Materi Pokok Konsep Limit Teknis Perhitungan Limit Ppt Download
Limit Fungsi Materi Pokok Konsep Limit Teknis Perhitungan Limit Ppt Download from slideplayer.info
Cara ini dipakai ketika kita menggunakan cara subtitusi langsung tetapi hasilnya , maka fungsi harus. Konsep limit fungsi  setiap nilai pada fungsi oleh karena itu, untuk x mendekati 2 misi kita adalah mencari bentuk tentu dari limit cara ii (faktorisasi). Maka perhitungan nilai limit dilakukan dengan cara. Pada bahasa matematika, keadaan ini biasa disebut limit. (daerah dengan limit fungsi aljabar. Limit fungsi:suatu limit f(x) dikatakan mendekati a {f(x) a} sebagai suatu limit.bila x mendekati a jika 0 didistribusikan menghasilkan(bukan solusi) sehingga soaldiselesaikan dengan cara faktorisasi. Yuk, kita pelajari limit fungsi aljabar bersama, supaya pemahaman mengenai limit akan lebih mendalam. Cara ii (faktorisasi) perhatikan bahwa f(x) = x x x x x x x 2 2 3 2 4 2 1 2 2.

Cara ini dipakai ketika kita menggunakan cara subtitusi langsung tetapi hasilnya , maka fungsi harus.

Materi faktoriasasi pada limit yang aplikatif. Membagi dengan variabel pangkat tertinggi. Menghitung limit fungsi aljabar dengan cara pemfaktoran atau faktorisasi. Limit fungsi:suatu limit f(x) jika 0 didistribusikan menghasilkan (bukan solusi) sehingga soal diselesaikan dengan cara faktorisasi. Sebuah fungsi f(x) mempunyai jika dan hanya jika untuk sembarang. Limit fungsi:suatu limit f(x) dikatakan mendekati a {f(x) a} sebagai suatu limit.bila x mendekati a jika 0 didistribusikan menghasilkan(bukan solusi) sehingga soaldiselesaikan dengan cara faktorisasi. Konsep limit fungsi erat sekali kaitannya dengan konsep turunan. Soal diangkat dari buku matematika kelas 11 karangan #dr sukino m.sc #matematika sma. Limit suatu fungsi merupakan salah satu konsep mendasar dalam kalkulus dan analisis, tentang kelakuan suatu fungsi mendekati titik masukan tertentu. Limit tak hingga merupakan bentuk dari limit fungsi pada tinjauan sangat jauh atau tak hingga. Pada bahasa matematika, keadaan ini biasa disebut limit. Cara ii (faktorisasi) perhatikan bahwa f(x) = x x x x x x x 2 2 3 2 4 2 1 2 2. Suatu fungsi memetakan keluaran f(x) untuk setiap masukan x.

Posting Komentar

Lebih baru Lebih lama

Facebook